Rotor 74A1
About
Compressor 74A is part of a research program to study fans and compressors for advanced airbreathing engines to assess and improve the technology needed for high pressure ratio, good efficiency, and adequate stall margin in as few stages as possible. This compressor consists of inlet guide vanes and five stages, and it is designed for a 9.271 pressure ratio. Rotor 74A1 is the rotor of the first stage of this compressor.
- Original technical report [1]:
@TechReport{steinke1986design, author = {Steinke, Ronald J.}, date = {1986}, institution = {NASA Lewis Research Center Cleveland, OH, United States}, title = {Design of 9.271-Pressure-Ratio Five-Stage Core Compressor and Overall Performance for First Three Stages}, number = {NASA-TP-2597}, url = {https://ntrs.nasa.gov/citations/19870008266}, }
- Picture :
@Misc{Huebler1978records, author = {Huebler, D.}, title = {74A Compressor. {R}ecords of the {N}ational {A}eronautics and {S}pace {A}dministration, 1903 - 2006. {P}hotographs relating to agency activities, facilities and personnel, 1973 - 2013}, year = {1978}, url = {https://catalog.archives.gov/id/17443470}}
Useful documents
- downloadable models (Git project)
- NASA technical report (.pdf)
- geometrical parameters file (.csv), usable as input of OpenMCAD[2] to generate reference blade models.
Reference blade
The reference blade is defined with multiple-circular arc profiles[3] given in the original NASA report[1]. Corresponding models are computed with the open-source code OpenMCAD[2].
Geometry
The geometry of rotor 74A1 is described in the original NASA report by the following tables. The length are in centimeters and the angles in degrees.
Aerodynamic design
| units | values | |
|---|---|---|
| pressure ratio | [-] | 1.792 |
| mass flow | [kg/s] | 29.71 |
| tip speed | [m/s] | 430 |
| tip solidity | [-] | 1.35 |
| aspect ratio | [-] | 1.45 |
| number of blades | [-] | 28 |
| nominal rotation speed $\omega_n$ | [rad/s] | 1680 |
Material properties
Rotor 74A1 is made of titanium according to the NASA report, but the exact properties are not provided. A generic titanium Ti-6Al-4V is considered:
| units | values | |
|---|---|---|
| alloy | [-] | Ti-6Al-4V |
| Young's modulus | [GPa] | 108 |
| density | [kg/m3] | 4400 |
| Poisson's ratio | [-] | 0.34 |
| yield stress | [GPa] | 0.824 |
CAD model
The CAD model is computed with the open source code OpenMCAD[2].
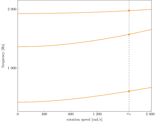
Natural frequencies
First three natural frequencies (with clamped root) for the mesh computed with OpenMCAD[2]:
| Mode | Type | Natural angular frequency (rad/sec) | Natural frequency (Hz) |
|---|---|---|---|
| 1 | 1B | 2641.29 | 420.38 |
| 2 | 1T | 8553.90 | 1361.40 |
| 3 | 2B | 12096.58 | 1925.23 |
Campbell diagram
Evolution of the natural frequencies of the first 3 vibration modes, as a function of rotation speed, for the mesh computed with OpenMCAD[2]:
Initial blade
The initial blade is defined with in-house LAVA parameters[4] computed from the reference blade CAD model. The initial blade is usually used as starting point for an optimization process. Its geometry is similar to the one of the reference blade.
Natural frequencies
First three natural frequencies (with clamped root)
- from the whole mesh:
| Mode | Type | Natural angular frequency (rad/sec) | Natural frequency (Hz) |
|---|---|---|---|
| 1 | 1B | 2643.86 | 420.78 |
| 2 | 1T | 8552.99 | 1361.25 |
| 3 | 2B | 12094.50 | 1924.90 |
- from the reduced order model:
| Mode | Type | Natural angular frequency (rad/sec) | Natural frequency (Hz) |
|---|---|---|---|
| 1 | 1B | 2644.18 | 420.84 |
| 2 | 1T | 8561.84 | 1362.66 |
| 3 | 2B | 12104.24 | 1926.45 |
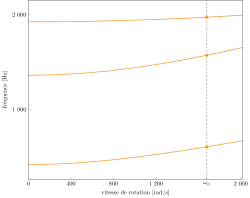
Campbell diagram
Comparison of the evolution of the natural frequencies of the first 3 vibration modes, as a function of rotation speed for the initial and the reference blade:
initial blade (orange), reference blade (gray)
À propos
Le compresseur 74A fait partie d'un programme de recherche visant à étudier les soufflantes et les compresseurs pour des moteurs à air comprimé afin d'évaluer et d'améliorer les technologies nécessaires pour obtenir un rapport de pression élevé, un bon rendement et une marge de décrochage adéquate avec le moins d'étage possible. Ce compresseur comporte des redresseurs d'admission et cinq étages, et il est conçu pour un rapport de pression de 9,271. Le rotor 74A1 est le rotor du premier étage de ce compresseur.
- Rapport technique original [1]:
@TechReport{steinke1986design, author = {Steinke, Ronald J.}, date = {1986}, institution = {NASA Lewis Research Center Cleveland, OH, United States}, title = {Design of 9.271-Pressure-Ratio Five-Stage Core Compressor and Overall Performance for First Three Stages}, number = {NASA-TP-2597}, url = {https://ntrs.nasa.gov/citations/19870008266}, }
- Photographie :
@Misc{Huebler1978records, author = {Huebler, D.}, title = {74A Compressor. {R}ecords of the {N}ational {A}eronautics and {S}pace {A}dministration, 1903 - 2006. {P}hotographs relating to agency activities, facilities and personnel, 1973 - 2013}, year = {1978}, url = {https://catalog.archives.gov/id/17443470}}
Documents utiles
- modèles téléchargeables (lien vers projet Git)
- rapport technique original de la NASA (.pdf)
- fichier de paramètres géométriques (.csv), utilisable en entrée de OpenMCAD[2] pour générer l'aube de référence
Aube de référence
L'aube de référence est définie par des profils de type arcs circulaires multiples[3], donnés dans le rapport technique original de la NASA[1]. Les modèles associés sont obtenus avec le code en libre accès OpenMCAD[2].
Géométrie
La géométrie du rotor 74A1 est décrite dans le rapport d'origine de la NASA par les tableaux suivants. Les grandeurs sont en centimètres et en degrés.
Caractéristiques aérodynamiques
| unités | valeurs | |
|---|---|---|
| taux de compression | [-] | 1,792 |
| débit massique | [kg/s] | 29,71 |
| vitesse en tête | [m/s] | 430 |
| solidité en tête | [-] | 1,35 |
| allongement | [-] | 1,45 |
| nombre d'aubes | [-] | 28 |
| vitesse de rotation nominale $\omega_n$ | [rad/s] | 1680 |
Propriétés matériau
Le matériau du rotor 74A1 est le titane d'après le rapport, mais ses caractéristiques ne sont pas fournies. Un alliage de titane Ti-6Al-4v est considéré :
| unités | valeurs | |
|---|---|---|
| alliage | [-] | Ti-6Al-4V |
| module d'Young | [GPa] | 108 |
| masse volumique | [kg/m3] | 4400 |
| coefficient de Poisson | [-] | 0,34 |
| limite élastique | [GPa] | 0,824 |
Modèle CAO
Le modèle CAO est obtenu avec OpenMCAD[2].
Fréquences propres
Fréquences des trois premiers modes (noeuds du pied d'aube encastrés) pour le maillage obtenu avec OpenMCAD[2] :
| Mode | Type | Pulsation propre (rad/sec) | Fréquence propre (Hz) |
|---|---|---|---|
| 1 | 1F | 2641,29 | 420,38 |
| 2 | 1T | 8553,90 | 1361,40 |
| 3 | 2F | 12096,58 | 1925,23 |
Diagramme de Campbell
Évolution des fréquences propres des 3 premiers modes, en fonction de la vitesse de rotation, pour le maillage obtenu avec OpenMCAD[2]:
Aube initiale
L'aube initiale est définie par des paramètres spécifiques au LAVA[4] obtenus à partir du modèle CAO de l'aube de référence. L'aube initiale est classiquement utilisée comme point de départ dans le cadre de procédures d'optimisation; sa géométrie est similaire à celle de l'aube de référence.
Fréquences propres
Fréquences des trois premiers modes (noeuds du pied d'aube encastrés),
- pour le maillage complet :
| Mode | Type | Pulsation propre (rad/sec) | Fréquence propre (Hz) |
|---|---|---|---|
| 1 | 1F | 2643,86 | 420,78 |
| 2 | 1T | 8552,99 | 1361,25 |
| 3 | 2F | 12094,50 | 1924,90 |
- pour le modèle réduit :
| Mode | Type | Pulsation propre (rad/sec) | Fréquence propre (Hz) |
|---|---|---|---|
| 1 | 1F | 2644,18 | 420,84 |
| 2 | 1T | 8561,84 | 1362,66 |
| 3 | 2F | 12104,24 | 1926,45 |
Diagramme de Campbell
Comparaison de l'évolution des fréquences propres des 3 premiers modes, en fonction de la vitesse de rotation, pour l'aube initiale et de référence:
aube initiale (orange), aube de référence (grise)





