Rotor 67
About
To reduce fan noise, an advanced, two-stage, high-pressure-ratio fan having widely spaced blade rows was build and tested. Rotor 67 is the rotor of the first stage of this fan. But, the overall efficiency of this two-stage fan was approximately 5 percentage points less than its design value. Analysis of the test results indicated that the first-stage stator and the second stage had potential for good performance but were hampered mainly by the dampered first-stage rotor. The dampers were responsible for large radial gradients of total pressure and deviation angle across a large portion of the blade height, resulting in mismatches in later blade rows. To improve performance of the first stage as well as the stage matching, the original two-stage fan was reconfigured with a newly designed first-stage rotor. Lower-aspect-ratio blading was selected for the rotor to eliminate both the need for part span dampers and their associated penalties on aerodynamic performance.
- Original technical report [1]:
@TechReport{urasek1979design, author = {Urasek, D. C. and Gorrell, W. T. and Cunnan, W. S.}, date = {1979}, institution = {NASA Lewis Research Center Cleveland, OH, United States}, title = {Performance of two-stage fan having low-aspect-ratio first-stage rotor blading}, number = {NASA-TP-1493}, url = {https://ntrs.nasa.gov/citations/19790018972}, } - Picture :
@Misc{laity1980records, author = {Laity, D.}, title = {Stage 67 rotor and stage 67 casing half stators mounted. {R}ecords of the {N}ational {A}eronautics and {S}pace {A}dministration, 1903 - 2006. {P}hotographs relating to agency activities, facilities and personnel, 1973 - 2013}, year = {1980}, url = {https://catalog.archives.gov/id/17500556}}
Useful documents
- downloadable models (Git project)
- NASA technical report (.pdf)
- geometrical parameters file (.csv), usable as input of OpenMCAD[2] to generate reference blade models.
Reference blade
The reference blade is defined with multiple-circular arc profiles[3] given in the original NASA report[1]. Corresponding models are computed with the open-source code OpenMCAD[2].
Geometry
The geometry of rotor 67 is described in the original NASA report by the following tables. The length are in centimeters and the angles in degrees.
Aerodynamic design
| unit | values | |
|---|---|---|
| pressure ratio | [-] | 1.63 |
| mass flow | [kg/s] | 33.248 |
| tip speed | [m/s] | 427 |
| tip solidity | [-] | 1.288 |
| aspect ratio | [-] | 1.56 |
| number of blades | [-] | 22 |
| nominal rotation speed $\omega_n$ | [rad/s] | 1680 |
Material properties
The original material of the rotor 67 is not defined in the NASA report. A generic titanium Ti-6Al-4V is considered:
| units | values | |
|---|---|---|
| alloy | [-] | Ti-6Al-4V |
| Young's modulus | [GPa] | 108 |
| density | [kg/m3] | 4400 |
| Poisson's ratio | [-] | 0.34 |
| yield stress | [GPa] | 0.824 |
CAD model
The CAD model is computed with the open source code OpenMCAD[2].
Natural frequencies
First three natural frequencies (with clamped root) for the mesh computed with OpenMCAD[2]:
| Mode | Type | Natural angular frequency (rad/sec) | Natural frequency (Hz) |
|---|---|---|---|
| 1 | 1B | 2318.54 | 369.01 |
| 2 | 2B | 6244.46 | 993.84 |
| 3 | 1T | 10871.29 | 1730.22 |
Campbell diagram
Evolution of the natural frequencies of the first 3 vibration modes, as a function of rotation speed, for the mesh computed with OpenMCAD[2]:
Initial blade
The initial blade is defined with in-house LAVA parameters[4] computed from the reference blade CAD model. The initial blade is usually used as starting point for an optimization process. Its geometry is similar to the one of the reference blade.
Natural frequencies
First three natural frequencies (with clamped root)
- from the whole mesh:
| Mode | Type | Natural angular frequency (rad/sec) | Natural frequency (Hz) |
|---|---|---|---|
| 1 | 1B | 2310.04 | 367.66 |
| 2 | 2B | 6215.77 | 989.27 |
| 3 | 1T | 10842.26 | 1725.60 |
- from the reduced order model:
| Mode | Type | Natural angular frequency (rad/sec) | Natural frequency (Hz) |
|---|---|---|---|
| 1 | 1B | 2310.36 | 367.71 |
| 2 | 2B | 6222.56 | 990.35 |
| 3 | 1T | 10866.01 | 1729.38 |
Campbell diagram
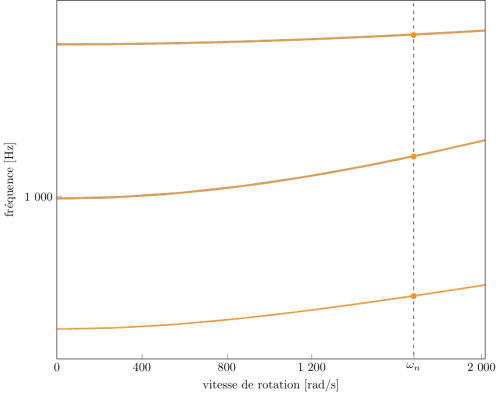
Comparison of the evolution of the natural frequencies of the first 3 vibration modes, as a function of rotation speed for the initial and the reference blade:
initial blade (orange), reference blade (gray)
À propos
Pour réduire le bruit des soufflantes, une soufflante a deux étages a été construite et testée. Cette soufflante possède un grand taux de compression (2.4) et ses rangées d’aubes sont très espacées. Le rotor 67 est le rotor du premier étage de cette soufflante. Cependant, le rendement global de cette soufflante à deux étages était inférieur d'environ 5% au rendement prévu. L'analyse des résultats des essais a montré que le stator du premier étage et le deuxième étage avaient un potentiel de bonnes performances, mais qu'ils étaient entravés principalement par le rotor du premier étage qui était amorti. Les amortisseurs étaient responsables d'importants gradients de pression totale et d'angle de déviation sur une grande partie de la hauteur des aubes, ce qui a entraîné des déséquilibres dans les rangées d’aubes ultérieures. Pour améliorer les performances du premier étage ainsi que l'appariement des étages, le rotor du premier étage a été reconfiguré. Des aubes à faible allongement d'aspect ont été privilégiées.
- Rapport technique original [1]:
@TechReport{urasek1979design, author = {Urasek, D. C. and Gorrell, W. T. and Cunnan, W. S.}, date = {1979}, institution = {NASA Lewis Research Center Cleveland, OH, United States}, title = {Performance of two-stage fan having low-aspect-ratio first-stage rotor blading}, number = {NASA-TP-1493}, url = {https://ntrs.nasa.gov/citations/19790018972}, } - Photographie :
@Misc{laity1980records, author = {Laity, D.}, title = {Stage 67 rotor and stage 67 casing half stators mounted. {R}ecords of the {N}ational {A}eronautics and {S}pace {A}dministration, 1903 - 2006. {P}hotographs relating to agency activities, facilities and personnel, 1973 - 2013}, year = {1980}, url = {https://catalog.archives.gov/id/17500556}}
Documents utiles
- modèles téléchargeables (lien vers projet Git)
- rapport technique original de la NASA (.pdf)
- fichier de paramètres géométriques (.csv), utilisable en entrée de OpenMCAD[2] pour générer l'aube de référence
Aube de référence
L'aube de référence est définie par des profils de type arcs circulaires multiples[3], donnés dans le rapport technique original de la NASA[1]. Les modèles associés sont obtenus avec le code en libre accès OpenMCAD[2].
Géométrie
La géométrie du rotor 67 est décrite dans le rapport d'origine de la NASA par les tableaux suivants. Les grandeurs sont en centimètres et en degrés.
Caractéristiques aérodynamiques
| unités | valeurs | |
|---|---|---|
| taux de compression | [-] | 1,63 |
| débit massique | [kg/s] | 33,248 |
| vitesse en tête | [m/s] | 427 |
| solidité en tête | [-] | 1,288 |
| allongement | [-] | 1,56 |
| nombre d'aubes | [-] | 22 |
| vitesse de rotation nominale $\omega_n$ | [rad/s] | 1680 |
Propriétés matériau
Le matériau original du rotor 67 n'est pas défini dans le rapport de la NASA. Un alliage de titane Ti-6Al-4v est considéré :
| unités | valeurs | |
|---|---|---|
| alliage | [-] | Ti-6Al-4v |
| module d'Young | [GPa] | 108 |
| masse volumique | [kg/m3] | 4400 |
| coefficient de Poisson | [-] | 0,34 |
| limite élastique | [GPa] | 0,824 |
Modèle CAO
Le modèle CAO est obtenu avec OpenMCAD[2].
Fréquences propres
Fréquences des trois premiers modes (noeuds du pied d'aube encastrés) pour le maillage obtenu avec OpenMCAD[2] :
| Mode | Type | Pulsation propre (rad/sec) | Fréquence propre (Hz) |
|---|---|---|---|
| 1 | 1F | 2318,54 | 369,01 |
| 2 | 2F | 6244,46 | 993,84 |
| 3 | 1T | 10871,29 | 1730,22 |
Diagramme de Campbell
Évolution des fréquences propres des 3 premiers modes, en fonction de la vitesse de rotation, pour le maillage obtenu avec OpenMCAD[2]:
Aube initiale
L'aube initiale est définie par des paramètres spécifiques au LAVA[4] obtenus à partir du modèle CAO de l'aube de référence. L'aube initiale est classiquement utilisée comme point de départ dans le cadre de procédures d'optimisation; sa géométrie est similaire à celle de l'aube de référence.
Fréquences propres
Fréquences des trois premiers modes (noeuds du pied d'aube encastrés),
- pour le maillage complet :
| Mode | Type | Pulsation propre (rad/sec) | Fréquence propre (Hz) |
|---|---|---|---|
| 1 | 1F | 2310,04 | 367,66 |
| 2 | 2F | 6215,77 | 989,27 |
| 3 | 1T | 10842,26 | 1725,60 |
- pour le modèle réduit :
| Mode | Type | Pulsation propre (rad/sec) | Fréquence propre (Hz) |
|---|---|---|---|
| 1 | 1F | 2310,36 | 367,71 |
| 2 | 2F | 6222,56 | 990,35 |
| 3 | 1T | 10866,01 | 1729,38 |
Diagramme de Campbell
Comparaison de l'évolution des fréquences propres des 3 premiers modes, en fonction de la vitesse de rotation, pour l'aube initiale et de référence:
aube initiale (orange), aube de référence (grise)





