Rotor 65
About
Rotor 65 is part of a NASA research program in collaboration with Pratt & Whitney aiming at reducing the noise level of the JT8D engines (used in 1976 in Boeing 727 and 737) while maintaining their aerodynamic performance. Rotor 65 is a single-stage fan designed to replace the two-stage fan used in the JT8D engine.
- Original NASA technical report [1]:
@TechReport{moore1976aerodynamic, author = {Moore, Royce D and Kovich, George and Tysl, Edward R}, date = {1976}, institution = {NASA Lewis Research Center Cleveland, OH, United States}, title = {Aerodynamic performance of 0.4066-scale model to JT8D refan stage}, number = {NASA-TM X-3356}, url = {https://ntrs.nasa.gov/citations/19760017065},
- Picture :
Useful documents
- downloadable models (Git project)
- NASA technical report (.pdf)
- geometrical parameters file (.csv), usable as input of OpenMCAD[2] to generate reference blade models.
Reference blade
The reference blade is defined with multiple-circular arc profiles[3] given in the original NASA report[1]. Corresponding models are computed with the open-source code OpenMCAD[2].
Geometry
The geometry of rotor 65 is described in the original NASA report by the following table. The lenghts are in inches and the angles in degrees.
Aerodynamic design
| units | values | |
|---|---|---|
| pressure ratio | [-] | 1.679 |
| mass flow | [kg/s] | 35.82 |
| tip speed | [m/s] | 419.1 |
| aspect ratio | [-] | 1.679 |
| nominal rotation speed $\omega_n$ | [rad/s] | 1918.66 |
Material properties
The material of the rotor 65 is titanium according to the report, but its characteristics are not provided. A generic titanium Ti-6Al-4V is considered:
| units | values | |
|---|---|---|
| alloy | [-] | Ti-6Al-4V |
| Young's modulus | [GPa] | 108 |
| density | [kg/m3] | 4400 |
| Poisson's ratio | [-] | 0.34 |
| yield stress | [GPa] | 0.824 |
CAD model
The CAD model is computed with the open source code OpenMCAD[2].
Natural frequencies
First three natural frequencies (with clamped root) for the mesh computed with OpenMCAD[2]:
| Mode | Type | Natural angular frequency (rad/sec) | Natural frequency (Hz) |
|---|---|---|---|
| 1 | 1B | 861.37 | 137.09 |
| 2 | 2B | 3216.75 | 511.96 |
| 3 | 1T | 4954.74 | 788.57 |
Campbell diagram
Evolution of the natural frequencies of the first 3 vibration modes, as a function of rotation speed, for the mesh computed with OpenMCAD[2]:
Initial blade
The initial blade is defined with in-house LAVA parameters[4] computed from the reference blade CAD model. The initial blade is usually used as starting point for an optimization process. Its geometry is similar to the one of the reference blade.
Natural frequencies
First three natural frequencies (with clamped root)
- from the whole mesh:
| Mode | Type | Natural angular frequency (rad/sec) | Natural frequency (Hz) |
|---|---|---|---|
| 1 | 1B | 843.81 | 134.296 |
| 2 | 2B | 3125.32 | 497.41 |
| 3 | 1T | 4970.06 | 791.01 |
- from the reduced order model:
| Mode | Type | Natural angular frequency (rad/sec) | Natural frequency (Hz) |
|---|---|---|---|
| 1 | 1B | 843.83 | 134.30 |
| 2 | 2B | 3125.95 | 497.51 |
| 3 | 1T | 4971.34 | 791.21 |
Campbell diagram
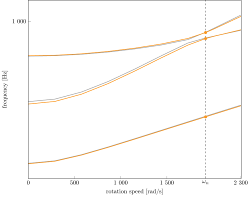
Comparison of the evolution of the natural frequencies of the first 3 vibration modes, as a function of rotation speed for the initial and the reference blade:
initial blade (orange), reference blade (gray)
À propos
Le rotor 65 a été étudié dans le cadre d'un programme de recherche de la NASA en collaboration avec Pratt & Whitney visant à réduire le bruit des moteurs JT8D (utilisés en 1976 pour les Boeing 727 et 737) tout en préservant leurs performances aérodynamiques. Le rotor 65 est une soufflante à un seul étage conçu pour remplacer une soufflante à deux étages utilisée dans les moteurs JT8D.
- Rapport technique original [1]:
@TechReport{moore1976aerodynamic, author = {Moore, Royce D and Kovich, George and Tysl, Edward R}, date = {1976}, institution = {NASA Lewis Research Center Cleveland, OH, United States}, title = {Aerodynamic performance of 0.4066-scale model to JT8D refan stage}, number = {NASA-TM X-3356}, url = {https://ntrs.nasa.gov/citations/19760017065}, } - Photographie :
Documents utiles
- modèles téléchargeables (lien vers projet Git)
- rapport technique original de la NASA (.pdf)
- fichier de paramètres géométriques (.csv), utilisable en entrée de OpenMCAD[2] pour générer l'aube de référence
Aube de référence
L'aube de référence est définie par des profils de type arcs circulaires multiples[3], donnés dans le rapport technique original de la NASA[1]. Les modèles associés sont obtenus avec le code en libre accès OpenMCAD[2].
Géométrie
La géométrie du rotor 65 est décrite dans le rapport d'origine de la NASA par les tableaux suivants. Les grandeurs sont en pouces et en degrés.
Caractéristiques aérodynamiques
| unité | valeurs | |
|---|---|---|
| taux de compression | [-] | 1.679 |
| débit massique | [kg/s] | 35.82 |
| vitesse en tête | [m/s] | 419.1 |
| allongement | [-] | 1.679 |
| vitesse de rotation nominale $\omega_n$ | [rad/s] | 1918.66 |
Propriétés matériau
Le matériau du rotor 65 est le titane d'après le rapport, mais ses caractéristiques ne sont pas fournies. Un alliage de titane Ti-6Al-4v est considéré :
| unités | valeurs | |
|---|---|---|
| alliage | [-] | Ti-6Al-4v |
| module d'Young | [GPa] | 108 |
| masse volumique | [kg/m3] | 4400 |
| coefficient de Poisson | [-] | 0,34 |
| limite élastique | [GPa] | 0,824 |
Modèle CAO
Le modèle CAO est obtenu avec OpenMCAD[2].
Fréquences propres
Fréquences des trois premiers modes (noeuds du pied d'aube encastrés) pour le maillage obtenu avec OpenMCAD[2] :
| Mode | Type | Pulsation propre (rad/sec) | Fréquence propre (Hz) |
|---|---|---|---|
| 1 | 1F | 861,37 | 137,09 |
| 2 | 2F | 3216,75 | 511,96 |
| 3 | 1T | 4954,74 | 788,57 |
Diagramme de Campbell
Évolution des fréquences propres des 3 premiers modes, en fonction de la vitesse de rotation, pour le maillage obtenu avec OpenMCAD[2]:
Aube initiale
L'aube initiale est définie par des paramètres spécifiques au LAVA[4] obtenus à partir du modèle CAO de l'aube de référence. L'aube initiale est classiquement utilisée comme point de départ dans le cadre de procédures d'optimisation; sa géométrie est similaire à celle de l'aube de référence.
Fréquences propres
Fréquences des trois premiers modes (noeuds du pied d'aube encastrés),
- pour le maillage complet :
| Mode | Type | Pulsation propre (rad/sec) | Fréquence propre (Hz) |
|---|---|---|---|
| 1 | 1F | 843,81 | 134,30 |
| 2 | 2F | 3125,32 | 497,41 |
| 3 | 1T | 4970,06 | 791,01 |
- pour le modèle réduit :
| Mode | Type | Pulsation propre (rad/sec) | Fréquence propre (Hz) |
|---|---|---|---|
| 1 | 1F | 843,83 | 134,30 |
| 2 | 2F | 3125,95 | 497,51 |
| 3 | 1T | 4971,34 | 791,21 |
Diagramme de Campbell
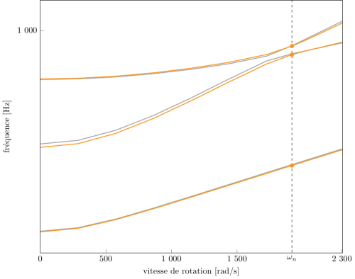
Comparaison de l'évolution des fréquences propres des 3 premiers modes, en fonction de la vitesse de rotation, pour l'aube initiale et de référence:
aube initiale (orange), aube de référence (grise)






