Rotor 54
About
Rotor 54 is part of a research program to study fan stages suitable for use in engines for quiet powered lift aircraft. Experimental studies have been conducted on fan stages suitable for use in engines for quiet powered lift aircraft using the externally blown flap. The externally blown flap aircraft requires a large flow of low velocity air for effective lift and low noise during take-off and landing. To meet the low noise requirement, the fans will be required to have low tip speed and low-pressure ratio. The pressure ratios of interest in the program range from 1.15 to 1.4. Rotor 54 has a pressure ratio of 1.2.
- Original technical report [1]:
@TechReport{lewis1976deisgn, author = {Lewis, George W. and Moore, R. D.}, year = {1976}, institution = {NASA Lewis Research Center Cleveland, OH, United States}, title = {Aerodynamic performance of a 1.20-pressure-ratio fan stage designed for low noise}, number = {NASA-TM X-3430}, url = {https://ntrs.nasa.gov/citations/19760026047}, }
- Picture :
@Misc{unknown1975records, author = {Unknown}, title = {Stage 54 rotor. {R}ecords of the {N}ational {A}eronautics and {S}pace {A}dministration, 1903 - 2006. {P}hotographs relating to agency activities, facilities and personnel, 1973 - 2013}, year = {1975}, url = {https://catalog.archives.gov/id/17444857}
Useful documents
- downloadable models (Git project)
- NASA technical report (.pdf)
- geometrical parameters file (.csv), usable as input of OpenMCAD[2] to generate reference blade models.
Reference blade
The reference blade is defined with multiple-circular arc profiles[3] given in the original NASA report[1]. Corresponding models are computed with the open-source code OpenMCAD[2].
Geometry
The geometry of rotor 54 is described in the original NASA report by the following tables. The length are in centimeters and the angles in degrees.
Aerodynamic design
| unit | values | |
|---|---|---|
| pressure ratio | [-] | 1.2 |
| mass flow | [kg/s] | 30.55 |
| tip speed | [m/s] | 228.6 |
| tip solidity | [-] | 1.188 |
| aspect ratio | [-] | 3.9 |
| number of blades | [-] | 42 |
| nominal rotation speed $\omega_n$ | [rad/s] | 900 |
Material properties
he original material of the rotor 54 is not defined in the NASA report. A generic titanium Ti-6Al-4V is considered:
| unité | valeurs | |
|---|---|---|
| alloy | [-] | Ti-6Al-4V |
| Young's modulus | [GPa] | 108 |
| density | [kg/m3] | 4400 |
| Poisson's ratio | [-] | 0.34 |
| yield stress | [GPa] | 0.824 |
CAD model
The CAD model is computed with the open source code OpenMCAD[2].
Natural frequencies
First three natural frequencies (with clamped root) for the mesh computed with OpenMCAD[2]:
| Mode | Type | Natural angular frequency (rad/sec) | Natural frequency (Hz) |
|---|---|---|---|
| 1 | 1B | 1018.50 | 183.32 |
| 2 | 1T | 3542.50 | 663.66 |
| 3 | 2B | 6094.70 | 1055.71 |
Campbell diagram
Evolution of the natural frequencies of the first 3 vibration modes, as a function of rotation speed, for the mesh computed with OpenMCAD[2]:
Initial blade
The initial blade is defined with in-house LAVA parameters[4] computed from the reference blade CAD model. The initial blade is usually used as starting point for an optimization process. Its geometry is similar to the one of the reference blade.
Natural frequencies
First three natural frequencies (with clamped root)
- from the whole mesh:
| Mode | Type | Natural angular frequency (rad/sec) | Natural frequency (Hz) |
|---|---|---|---|
| 1 | 1B | 1019.10 | 183.03 |
| 2 | 1T | 3539.30 | 665.31 |
| 3 | 2B | 6074.00 | 1052.60 |
- from the reduced order model:
| Mode | Type | Natural angular frequency (rad/sec) | Natural frequency (Hz) |
|---|---|---|---|
| 1 | 1B | 1019.10 | 183.03 |
| 2 | 1T | 3540.80 | 665.41 |
| 3 | 2B | 6075.80 | 1052.81 |
Campbell diagram
Comparison of the evolution of the natural frequencies of the first 3 vibration modes, as a function of rotation speed for the initial and the reference blade:
initial blade (orange), reference blade (gray)
À propos
Le rotor 54 fait partie d'un programme de recherche visant à étudier les étages de soufflante susceptibles d'être utilisés dans des moteurs d'avions plus silencieux. Des études expérimentales ont été menées sur des étages de soufflante utilisant un volet à soufflage externe. L’utilisation de tel volets nécessite un grand débit d'air à faible vitesse pour une portance efficace et un faible niveau de bruit au décollage et à l'atterrissage. Pour répondre à cette exigence de faible bruit, les soufflantes devront avoir une faible vitesse en tête et un faible taux de compression. Les taux de compression d'intérêt dans le programme varient de 1,15 à 1,4. Le rotor 54 possède un taux de compression de 1,2.
- Rapport technique original [1]:
@TechReport{lewis1976deisgn, author = {Lewis, George W. and Moore, R. D.}, year = {1976}, institution = {NASA Lewis Research Center Cleveland, OH, United States}, title = {Aerodynamic performance of a 1.20-pressure-ratio fan stage designed for low noise}, number = {NASA-TM X-3430}, url = {https://ntrs.nasa.gov/citations/19760026047}, } - Photographie :
@Misc{unknown1975records, author = {Unknown}, title = {Stage 54 rotor. {R}ecords of the {N}ational {A}eronautics and {S}pace {A}dministration, 1903 - 2006. {P}hotographs relating to agency activities, facilities and personnel, 1973 - 2013}, year = {1975}, url = {https://catalog.archives.gov/id/17444857}
Documents utiles
- modèles téléchargeables (lien vers projet Git)
- rapport technique original de la NASA (.pdf)
- fichier de paramètres géométriques (.csv), utilisable en entrée de OpenMCAD[2] pour générer l'aube de référence
Aube de référence
L'aube de référence est définie par des profils de type arcs circulaires multiples[3], donnés dans le rapport technique original de la NASA[1]. Les modèles associés sont obtenus avec le code en libre accès OpenMCAD[2].
Géométrie
La géométrie du rotor 54 est décrite dans le rapport d'origine de la NASA par les tableaux suivants. Les grandeurs sont en centimètres et en degrés.
Caractéristiques aérodynamiques
| unités | valeurs | |
|---|---|---|
| taux de compression | [-] | 1,2 |
| débit massique | [kg/s] | 30,55 |
| vitesse en tête | [m/s] | 228,6 |
| solidité en tête | [-] | 1,188 |
| allongement | [-] | 3,9 |
| nombre d'aubes | [-] | 42 |
| vitesse de rotation nominale $\omega_n$ | [rad/s] | 900 |
Propriétés matériau
Le matériau original du rotor 54 n'est pas défini dans le rapport de la NASA. Un alliage de titane Ti-6Al-4v est considéré :
| unité | valeurs | |
|---|---|---|
| alliage | [-] | Ti-6Al-4v |
| module d'Young | [GPa] | 108 |
| masse volumique | [kg/m3] | 4400 |
| coefficient de Poisson | [-] | 0,34 |
| limite élastique | [GPa] | 0,824 |
Modèle CAO
Le modèle CAO est obtenu avec OpenMCAD[2].
Fréquences propres
Fréquences des trois premiers modes (noeuds du pied d'aube encastrés) pour le maillage obtenu avec OpenMCAD[2] :
| Mode | Type | Pulsation propre (rad/sec) | Fréquence propre (Hz) |
|---|---|---|---|
| 1 | 1F | 1018,50 | 183,32 |
| 2 | 1T | 3542,50 | 663,66 |
| 3 | 2F | 6094,70 | 1055,71 |
Diagramme de Campbell
Évolution des fréquences propres des 3 premiers modes, en fonction de la vitesse de rotation, pour le maillage obtenu avec OpenMCAD[2]:
Aube initiale
L'aube initiale est définie par des paramètres spécifiques au LAVA[4] obtenus à partir du modèle CAO de l'aube de référence. L'aube initiale est classiquement utilisée comme point de départ dans le cadre de procédures d'optimisation; sa géométrie est similaire à celle de l'aube de référence.
Fréquences propres
Fréquences des trois premiers modes (noeuds du pied d'aube encastrés),
- pour le maillage complet :
| Mode | Type | Pulsation propre (rad/sec) | Fréquence propre (Hz) |
|---|---|---|---|
| 1 | 1F | 1019,10 | 183,03 |
| 2 | 1T | 3539,30 | 665,31 |
| 3 | 2F | 6074,00 | 1052,60 |
- pour le modèle réduit :
| Mode | Type | Pulsation propre (rad/sec) | Fréquence propre (Hz) |
|---|---|---|---|
| 1 | 1F | 1019,10 | 183,03 |
| 2 | 1T | 3540,80 | 665,41 |
| 3 | 2F | 6075,80 | 1052,81 |
Diagramme de Campbell
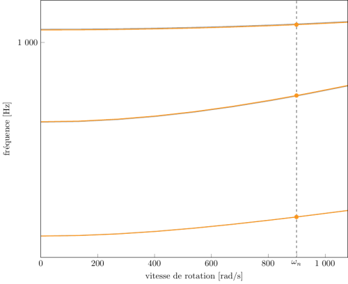
Comparaison de l'évolution des fréquences propres des 3 premiers modes, en fonction de la vitesse de rotation, pour l'aube initiale et de référence:
aube initiale (orange), aube de référence (grise)





