Rotor 36

Downloadable files

Rotor 36 is part of a research program to study a advanced-core compressor design with a high compression ratio (20:1). It is therefore the second stage rotor of this eight stage transonic compressor. Of these eight stages, the first four have been designed and tested : rotors 35, 36, 37 and 38. For more information, here is a link to a report from NASA.

  • Original technical report [1]:
    @TechReport{reid1982design,
      author           = {Reid, L. and Moore, R. D.},
      date             = {1982},
      institution      = {NASA Lewis Research Center Cleveland, OH, United States},
      title            = {Performance of single-stage axial-flow transonic compressor with rotor and stator aspect ratios of 1.63 and 1.78, respectively, and with design pressure ratio of 1.82},
      number           = {NASA-TP-1974},
      url              = {https://ntrs.nasa.gov/citations/19820011348},
    }  
  • Pictures :
  • @Misc{huebler1977records,
    author   = {Huebler, D.},
    title    = {Rotor 36 assembly and stator 36 casing half. {R}ecords of the {N}ational {A}eronautics and {S}pace {A}dministration, 1903 - 2006. {P}hotographs relating to agency activities, facilities and personnel, 1973 - 2013},
    note     = {\href{https://catalog.archives.gov/id/17467913}{https://catalog.archives.gov/id/17467913}, 1977 }, % for Fig. 1}
    note     = {\href{https://catalog.archives.gov/id/17467884}{https://catalog.archives.gov/id/17467884}, 1977 }, % for Fig. 2}

Useful documents

The reference blade is defined with multiple-circular arc profiles[3] given in the original NASA report[1]. Corresponding models are computed with the open-source code OpenMCAD[2].

The geometry of rotor 36 is described in the original NASA report by the following tables. The length are in centimeters and the angles in degrees.

unit value
pressure ratio [-] 1.82
mass flow [kg/s] 20.2
tip speed [m/s] 455
tip solidity [-] 1.3
aspect ratio [-] 1.63
number of blades [-] 48
nominal rotation speed $\omega_n$ [rad/s] 1800

Rotor 36 is made of a 200-grade maraging steel[4], but the exact material properties are not provided in the NASA report. The following properties are considered:

unit value
alloy [-] 18-Ni-200-maraging
Young's modulus [GPa] 180
density [kg/m3] 8000
Poisson's ratio [-] 0.3
yield stress [GPa] 1.38

The CAD model is computed with the open source code OpenMCAD[2].

pressure side
suction side

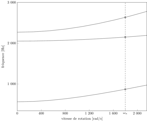
First three natural frequencies (with clamped root) for the mesh computed with OpenMCAD[2]:

Mode Type Natural angular frequency (rad/sec) Natural frequency (Hz)
1 1B 3525.61 561.12
2 1T 12882.23 2050.27
3 2B 14256.42 2268.98

Evolution of the natural frequencies of the first 3 vibration modes, as a function of rotation speed, for the mesh computed with OpenMCAD[2]:

Campbell diagram computed with a linear centrifugal preload, with clamped root (nominal rotation speed ωₙ = 1 800 rad/s)

The initial blade is defined with in-house LAVA parameters[5] computed from the reference blade CAD model. The initial blade is usually used as starting point for an optimization process. Its geometry is similar to the one of the reference blade.

First three natural frequencies (with clamped root)

  • from the whole mesh:
Mode Type Natural angular frequency (rad/sec) Natural frequency (Hz)
1 1B 3538.38 563.15
2 1T 12965.60 2063.54
3 2B 14395.72 2291.15
  • from the reduced order model:
Mode Type Natural angular frequency (rad/sec) Natural frequency (Hz)
1 1B 3538.56 563.18
2 1T 12969.75 2064.20
3 2B 14407,60 2293.04

Comparison of the evolution of the natural frequencies of the first 3 vibration modes, as a function of rotation speed for the initial and the reference blade:

Campbell diagram computed with a linear centrifugal preload, with clamped root (nominal speed ωₙ = 1 800 rad/s),

initial blade (orange), reference blade (gray)

Fichiers téléchargeables

Le rotor 36 appartient à un programme de recherche visant à étudier une conception de compresseur possédant un grand taux de compression (20:1). Il est donc le rotor du deuxième étage de ce compresseur transsonique de huit étages. Parmi ces huit étages, les quatre premiers ont été conçus et testés, ils correspondent aux rotors 35, 36, 37 et 38. Pour plus d'information, voici un lien vers un rapport de la NASA.

  • Rapport technique original [1]:
    @TechReport{reid1982design,
      author           = {Reid, L. and Moore, R. D.},
      date             = {1982},
      institution      = {NASA Lewis Research Center Cleveland, OH, United States},
      title            = {Performance of single-stage axial-flow transonic compressor with rotor and stator aspect ratios of 1.63 and 1.78, respectively, and with design pressure ratio of 1.82},
      number           = {NASA-TP-1974},
      url              = {https://ntrs.nasa.gov/citations/19820011348},
    }  
  • Photographies :
  • @Misc{huebler1977records,
    author   = {Huebler, D.},
    title    = {Rotor 36 assembly and stator 36 casing half. {R}ecords of the {N}ational {A}eronautics and {S}pace {A}dministration, 1903 - 2006. {P}hotographs relating to agency activities, facilities and personnel, 1973 - 2013},
    note     = {\href{https://catalog.archives.gov/id/17467913}{https://catalog.archives.gov/id/17467913}, 1977 }, % pour Fig. 1
    note     = {\href{https://catalog.archives.gov/id/17467884}{https://catalog.archives.gov/id/17467884}, 1977 }, % pour Fig. 2}

Documents utiles

L'aube de référence est définie par des profils de type arcs circulaires multiples[3], donnés dans le rapport technique original de la NASA[1]. Les modèles associés sont obtenus avec le code en libre accès OpenMCAD[2].

La géométrie du rotor 36 est décrite dans le rapport d'origine de la NASA par les tableaux suivants. Les grandeurs sont en centimètres et en degrés.

unités valeurs
taux de compression [-] 1,82
débit massique [kg/s] 20,2
vitesse en tête [m/s] 455
solidité en tête [-] 1,3
allongement [-] 1,63
nombre d'aubes [-] 48
vitesse de rotation $\omega_n$ [rad/s] 1800

Le matériau du rotor 36 est un alliage à base de nickel : un acier maraging de grade 200[4], mais ses caractéristiques ne sont pas fournies dans le raport de la NASA. Les propriétés considérées sont :

unité valeurs
alliage [-] 18-Ni-200-maraging
module d'Young [GPa] 180
masse volumique [kg/m3] 8000
coefficient de Poisson [-] 0,3
limite élastique [GPa] 1,38

Le modèle CAO est obtenu avec OpenMCAD[2].

intrados
extrados

Fréquences des trois premiers modes (noeuds du pied d'aube encastrés) pour le maillage obtenu avec OpenMCAD[2] :

Mode Type Pulsation propre (rad/sec) Fréquence propre (Hz)
1 1F 3525,61 561,12
2 1T 12882,23 2050,27
3 2F 14256,42 2268,98

Évolution des fréquences propres des 3 premiers modes, en fonction de la vitesse de rotation, pour le maillage obtenu avec OpenMCAD[2]:

diagramme de Campbell calculé avec une précharge centrifuge linéaire, noeuds du pied d'aube encastrés (vitesse nominale ωₙ = 1 800 rad/s)

L'aube initiale est définie par des paramètres spécifiques au LAVA[5] obtenus à partir du modèle CAO de l'aube de référence. L'aube initiale est classiquement utilisée comme point de départ dans le cadre de procédures d'optimisation; sa géométrie est similaire à celle de l'aube de référence.

Fréquences des trois premiers modes (noeuds du pied d'aube encastrés),

  • pour le maillage complet :
Mode Type Pulsation propre (rad/sec) Fréquence propre (Hz)
1 1F 3538,38 563,15
2 1T 12965,60 2063,54
3 2F 14395,72 2291,15
  • pour le modèle réduit :
Mode Type Pulsation propre (rad/sec) Fréquence propre (Hz)
1 1F 3538,56 563,18
2 1T 12969,75 2064,20
3 2F 14407,60 2293,04

Comparaison de l'évolution des fréquences propres des 3 premiers modes, en fonction de la vitesse de rotation, pour l'aube initiale et de référence:

diagramme de Campbell calculé avec une précharge centrifuge linéaire, noeuds du pied d'aube encastrés (vitesse nominale ωₙ = 1 800 rad/s),

aube initiale (orange), aube de référence (grise)


1. a, b, c, d Reid L., Moore R. D. «Performance of single-stage axial-flow transonic compressor with rotor and stator aspect ratios of 1.63 and 1.78, respectively, and with design pressure ratio of 1.82 » 1982. pdf
2. a, b, c, d, e, f, g, h, i, j Kojtych S., Batailly A. «OpenMCAD, an open blade generator: from Multiple-Circular-Arc profiles to Computer-Aided Design model» 2022. open source code
3. a, b Crouse et al. «A computer program for composing compressor blading from simulated circular-arc elements on conical surfaces » 1969. NASA-TN-D-5437. pdf
4. a, b Reid. «Design and overall performance of four highly loaded, high-speed inlet stages for and advanced high-pressure-ratio core compressor» 1978. pdf
5. a, b Kojtych S. et al. «Methodology for the Redesign of Compressor Blades Undergoing Nonlinear Structural Interactions: Application to Blade-Tip/Casing Contacts » 2022. Journal of Engineering for Gas Turbines and Power, Vol. 145, No. 5. pdf
  • public/modeles/rotor_36/accueil.txt
  • Dernière modification : 2024/08/07 16:58
  • (modification externe)