Rotor 21
About
Rotor 21 is part of a research program to study the experimental performances of a stage when the design blade loading in the rotor tip region has been substantially reduced. In order to produce the same overall pressure ratio as a reference stage (rotor 11), the blade loading levels in the midspan portion of the present rotor blade had to be relatively high.
- Original technical report [1]:
@TechReport{schmidt1978design, author = {Schmidt, James F. and Ruggeri, Robert S.}, date = {1978}, institution = {NASA Lewis Research Center Cleveland, OH, United States}, title = {Performance With and Without Inlet Radial Distortion of a Transonic Fan Stage Designed for Reduced Loading in the Tip Region}, number = {NASA-TP-1294}, url = {https://ntrs.nasa.gov/citations/19780022114}} - Picture :
Useful documents
- downloadable models (Git project)
- NASA technical report (.pdf)
- geometrical parameters file (.csv), usable as input of OpenMCAD[2] to generate reference blade models.
Reference blade
The reference blade is defined with multiple-circular arc profiles[3] given in the original NASA report[1]. Corresponding models are computed with the open-source code OpenMCAD[2].
Geometry
The geometry of rotor 21 is described in the original NASA report by the following tables. The length are in centimeters and the angles in degrees.
Aerodynamic design
| unit | value | |
|---|---|---|
| pressure ratio | [-] | 1.57 |
| mass flow | [kg/s] | 29.5 |
| tip speed | [m/s] | 425 |
| tip solidity | [-] | 1.28 |
| aspect ratio | [-] | 2.5 |
| number of blades | [-] | 44 |
| nominal rotation speed $\omega_n$ | [rad/s] | 1686 |
Material properties
The original material of the rotor 21 is not defined in the NASA report. A generic titanium Ti-6Al-4V is considered:
| unit | value | |
|---|---|---|
| alloy | [-] | Ti-6Al-4V |
| Young's modulus | [GPa] | 108 |
| density | [kg/m3] | 4400 |
| Poisson's ratio | [-] | 0.34 |
| yield stress | [GPa] | 0.824 |
CAD model
The CAD model is computed with the open source code OpenMCAD[2].
Natural frequencies
First three natural frequencies (with clamped root) for the mesh computed with OpenMCAD[2]:
| Mode | Type | Natural angular frequency (rad/sec) | Natural frequency (Hz) |
|---|---|---|---|
| 1 | 1B | 1512.88 | 240.78 |
| 2 | 2B | 5410.90 | 861.17 |
| 3 | 1T | 8729.48 | 1389.34 |
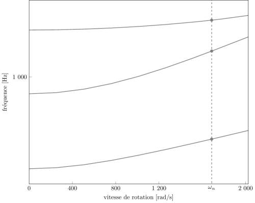
Campbell diagram
Evolution of the natural frequencies of the first 3 vibration modes, as a function of rotation speed, for the mesh computed with OpenMCAD[2]:
Initial blade
The initial blade is defined with in-house LAVA parameters[4] computed from the reference blade CAD model. The initial blade is usually used as starting point for an optimization process. Its geometry is similar to the one of the reference blade.
Natural frequencies
First three natural frequencies (with clamped root)
- from the whole mesh:
| Mode | Type | Natural angular frequency (rad/sec) | Natural frequency (Hz) |
|---|---|---|---|
| 1 | 1B | 1507.80 | 239.97 |
| 2 | 2B | 5410.47 | 861.10 |
| 3 | 1T | 8689.96 | 1383.05 |
- from the reduced order model:
| Mode | Type | Natural angular frequency (rad/sec) | Natural frequency (Hz) |
|---|---|---|---|
| 1 | 1B | 1507.89 | 239,99 |
| 2 | 2B | 5411.17 | 861.22 |
| 3 | 1T | 8691.72 | 1383.33 |
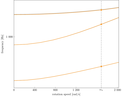
Campbell diagram
Comparison of the evolution of the natural frequencies of the first 3 vibration modes, as a function of rotation speed for the initial and the reference blade:
initial blade (orange), reference blade (gray)
À propos
Le rotor 21 fait partie d'un programme de recherche visant à étudier les performances expérimentales d'un étage de soufflante lorsque la charge des aubes dans la région de l'extrémité du rotor a été considérablement réduite. Afin de produire le même taux de compression global que l’étage de référence (rotor 11), les niveaux de charge des aubes dans la partie médiane de l’aube du rotor actuel ont été relativement augmentés.
- Rapport technique original [1]:
@TechReport{schmidt1978design, author = {Schmidt, James F. and Ruggeri, Robert S.}, date = {1978}, institution = {NASA Lewis Research Center Cleveland, OH, United States}, title = {Performance With and Without Inlet Radial Distortion of a Transonic Fan Stage Designed for Reduced Loading in the Tip Region}, number = {NASA-TP-1294}, url = {https://ntrs.nasa.gov/citations/19780022114}} - Photographie :
Documents utiles
- modèles téléchargeables (lien vers projet Git)
- rapport technique original de la NASA (.pdf)
- fichier de paramètres géométriques (.csv), utilisable en entrée de OpenMCAD[2] pour générer l'aube de référence
Aube de référence
L'aube de référence est définie par des profils de type arcs circulaires multiples[3], donnés dans le rapport technique original de la NASA[1]. Les modèles associés sont obtenus avec le code en libre accès OpenMCAD[2].
Géométrie
La géométrie du rotor 21 est décrite dans le rapport d'origine de la NASA par les tableaux suivants. Les grandeurs sont en centimètres et en degrés.
Caractéristiques aérodynamiques
| unités | valeurs | |
|---|---|---|
| taux de compression | [-] | 1,57 |
| débit massique | [kg/s] | 29,5 |
| vitesse en tête | [m/s] | 425 |
| solidité en tête | [-] | 1,28 |
| allongement | [-] | 2,5 |
| nombre d'aubes | [-] | 44 |
| vitesse de rotation nominale $\omega_n$ | [rad/s] | 1686 |
Propriétés matériau
Le matériau original du rotor 21 n'est pas défini dans le rapport de la NASA. Un alliage de titane Ti-6Al-4v est considéré :
| unité | valeurs | |
|---|---|---|
| alliage | [-] | Ti-6Al-4v |
| module d'Young | [GPa] | 108 |
| masse volumique | [kg/m3] | 4400 |
| coefficient de Poisson | [-] | 0,34 |
| limite élastique | [GPa] | 0,824 |
Modèle CAO
Le modèle CAO est obtenu avec OpenMCAD[2].
Fréquences propres
Fréquences des trois premiers modes (noeuds du pied d'aube encastrés) pour le maillage obtenu avec OpenMCAD[2] :
| Mode | Type | Pulsation propre (rad/sec) | Fréquence propre (Hz) |
|---|---|---|---|
| 1 | 1F | 1512,88 | 240,78 |
| 2 | 2F | 5410,90 | 861,17 |
| 3 | 1T | 8729,48 | 1389,34 |
Diagramme de Campbell
Évolution des fréquences propres des 3 premiers modes, en fonction de la vitesse de rotation, pour le maillage obtenu avec OpenMCAD[2]:
Aube initiale
L'aube initiale est définie par des paramètres spécifiques au LAVA[4] obtenus à partir du modèle CAO de l'aube de référence. L'aube initiale est classiquement utilisée comme point de départ dans le cadre de procédures d'optimisation; sa géométrie est similaire à celle de l'aube de référence.
Fréquences propres
Fréquences des trois premiers modes (noeuds du pied d'aube encastrés),
- pour le maillage complet :
| Mode | Type | Pulsation propre (rad/sec) | Fréquence propre (Hz) |
|---|---|---|---|
| 1 | 1F | 1507,80 | 239,97 |
| 2 | 2F | 5410,47 | 861,10 |
| 3 | 1T | 8689,96 | 1383,05 |
- pour le modèle réduit :
| Mode | Type | Pulsation propre (rad/sec) | Fréquence propre (Hz) |
|---|---|---|---|
| 1 | 1F | 1507,89 | 239,99 |
| 2 | 2F | 5411,17 | 861,22 |
| 3 | 1T | 8691,72 | 1383,33 |
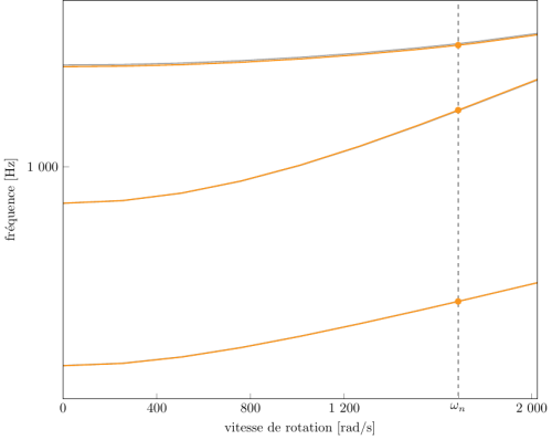
Diagramme de Campbell
Comparaison de l'évolution des fréquences propres des 3 premiers modes, en fonction de la vitesse de rotation, pour l'aube initiale et de référence:
aube initiale (orange), aube de référence (grise)





