Rotor 14

Downloadable files

Rotor 14 is part of a research program to study the effects of blade row solidity on efficiency and stall margin of an axial-flow compressor rotor. It is one of a series of rotors designed to further study the effects of solidity : rotor 8 with a tip solidity of 1.5, rotor 12 with a tip solidity of 1.7 and rotor 14 with a tip solidity of 1.3. Tip solidity are being changed by varying the number of blades while maintaining the same velocity diagrams and flow path. These stages were designed such that the tip solidity of both the rotor and stator blades are the same.

  • Original technical report [1]:
    @TechReport{moore1972design,
      author           = {Moore, R. D. and Urasek, Donald C. and Osborn, Walter M.},
      date             = {1972},
      institution      = {NASA Lewis Research Center Cleveland, OH, United States},
      title            = {Performance of a single-stage transonic compressor with a blade-tip solidity of 1.3},
      number           = {NASA-TM X-2645},
      url              = {https://ntrs.nasa.gov/citations/19730002275},
    }
  • Picture :

Useful documents

The reference blade is defined with multiple-circular arc profiles[3] given in the original NASA report[1]. Corresponding models are computed with the open-source code OpenMCAD[2].

The geometry of rotor 14 is described in the original NASA report by the following tables. The length are in centimeters and the angles in degrees.

unit value
pressure ratio [-] 1.75
mass flow [kg/s] 29.5
tip speed [m/s] 423
tip solidity [-] 1.3
aspect ratio [-] 2.4
number of blades [-] 43
nominal rotation speed $\omega_n$ [rad/s] 1686

The original material of the rotor 14 is not defined in the NASA report. A 200-grade maraging steel is considered:

unit value
alloy [-] 18-Ni-200-maraging
Young's modulus [GPa] 180
density [kg/m3] 8000
Poisson's ratio [-] 0.3
yield stress [GPa] 1.38

The CAD model is computed with the open source code OpenMCAD[2].

pressure side
suction side

First three natural frequencies (with clamped root) for the mesh computed with OpenMCAD[2]:

Mode Type Natural angular frequency (rad/sec) Natural frequency (Hz)
1 1B 1739.36 276.83
2 2B 6240.69 993.24
3 1T 8434.99 1342.47

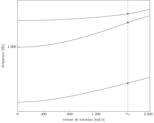
Evolution of the natural frequencies of the first 3 vibration modes, as a function of rotation speed, for the mesh computed with OpenMCAD[2]:

Campbell diagram computed with a linear centrifugal preload, with clamped root (nominal rotation speed ωₙ = 1 686 rad/s)

The initial blade is defined with in-house LAVA parameters[4] computed from the reference blade CAD model. The initial blade is usually used as starting point for an optimization process. Its geometry is similar to the one of the reference blade.

First three natural frequencies (with clamped root)

  • from the whole mesh:
Mode Type Natural angular frequency (rad/sec) Natural frequency (Hz)
1 1B 1739.44 276.84
2 2B 6259.56 996.24
3 1T 8425.56 1340.97
  • from the reduced order model:
Mode Type Natural angular frequency (rad/sec) Natural frequency (Hz)
1 1B 1739.51 276.85
2 2B 6261.91 996.61
3 1T 8428.64 1341.46

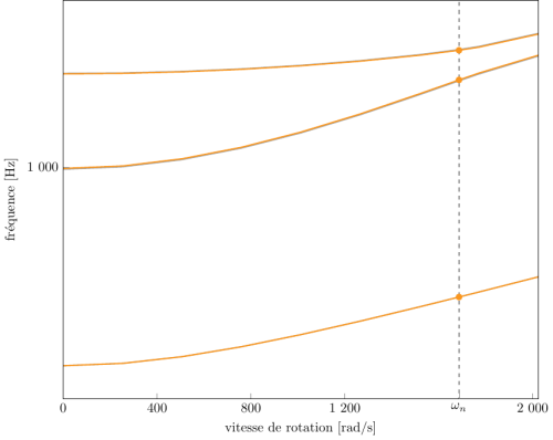
Comparison of the evolution of the natural frequencies of the first 3 vibration modes, as a function of rotation speed for the initial and the reference blade:

Campbell diagram computed with a linear centrifugal preload, with clamped root (nominal speed ωₙ = 1 686 rad/s),

initial blade (orange), reference blade (gray)

Fichiers téléchargeables

Le rotor 14 fait partie d'un programme de recherche visant à étudier les effets de la solidité des rangées d'aubes sur l'efficacité et la marge de décrochage d'un rotor de compresseur à flux axial. Il fait partie d'une série de rotors conçus pour étudier plus profondément les effets de la solidité : le rotor 8 avec une solidité en tête de 1.5, le rotor 12 avec une solidité en tête de 1.7 et le rotor 14 avec une solidité en tête de 1.3. La solidité est modifiée en faisant varier le nombre d'aubes tout en conservant les mêmes triangles de vitesse et le même trajet d'écoulement. Ces étages ont été conçus de manière à ce que la solidité en tête du rotor et du stator soit la même.

  • Rapport technique original [1]:
    @TechReport{moore1972design,
      author           = {Moore, R. D. and Urasek, Donald C. and Osborn, Walter M.},
      date             = {1972},
      institution      = {NASA Lewis Research Center Cleveland, OH, United States},
      title            = {Performance of a single-stage transonic compressor with a blade-tip solidity of 1.3},
      number           = {NASA-TM X-2645},
      url              = {https://ntrs.nasa.gov/citations/19730002275},
    } 
  • Photographie :

Documents utiles

L'aube de référence est définie par des profils de type arcs circulaires multiples[3], donnés dans le rapport technique original de la NASA[1]. Les modèles associés sont obtenus avec le code en libre accès OpenMCAD[2].

La géométrie du rotor 14 est décrite dans le rapport d'origine de la NASA par les tableaux suivants. Les grandeurs sont en centimètres et en degrés.

unités valeurs
taux de compression [-] 1,75
débit massique [kg/s] 29,5
vitesse en tête [m/s] 423
solidité en tête [-] 1,3
allongement [-] 2,4
nombre d'aubes [-] 43
vitesse de rotation nominale $\omega_n$ [rad/s] 1686

Le matériau original du rotor 14 n'est pas défini dans le rapport de la NASA. Un acier maraging de grade 200 est considéré:

unité valeurs
alliage [-] 18-Ni-200-maraging
module d'Young [GPa] 180
masse volumique [kg/m3] 8000
coefficient de Poisson [-] 0,3
limite élastique [GPa] 1,38

Le modèle CAO est obtenu avec OpenMCAD[2].

intrados
extrados

Fréquences des trois premiers modes (noeuds du pied d'aube encastrés) pour le maillage obtenu avec OpenMCAD[2] :

Mode Type Pulsation propre (rad/sec) Fréquence propre (Hz)
1 1F 1739,36 276,83
2 2F 6240,69 993,24
3 1T 8434,99 1342,47

Évolution des fréquences propres des 3 premiers modes, en fonction de la vitesse de rotation, pour le maillage obtenu avec OpenMCAD[2]:

diagramme de Campbell calculé avec une précharge centrifuge linéaire, noeuds du pied d'aube encastrés (vitesse nominale ωₙ = 1 686 rad/s)

L'aube initiale est définie par des paramètres spécifiques au LAVA[4] obtenus à partir du modèle CAO de l'aube de référence. L'aube initiale est classiquement utilisée comme point de départ dans le cadre de procédures d'optimisation; sa géométrie est similaire à celle de l'aube de référence.

Fréquences des trois premiers modes (noeuds du pied d'aube encastrés),

  • pour le maillage complet :
Mode Type Pulsation propre (rad/sec) Fréquence propre (Hz)
1 1F 1739,44 276,84
2 2F 6259,56 996,24
3 1T 8425,56 1340,97
  • pour le modèle réduit :
Mode Type Pulsation propre (rad/sec) Fréquence propre (Hz)
1 1F 1739,51 276,85
2 2F 6261,91 996,61
3 1T 8428,64 1341,46

Comparaison de l'évolution des fréquences propres des 3 premiers modes, en fonction de la vitesse de rotation, pour l'aube initiale et de référence:

diagramme de Campbell calculé avec une précharge centrifuge linéaire, noeuds du pied d'aube encastrés (vitesse nominale ωₙ = 1 686 rad/s),

aube initiale (orange), aube de référence (grise)


1. a, b, c, d Moore et al «Performance of a single-stage transonic compressor with a blade-tip solidity of 1.3 » 1972. pdf
2. a, b, c, d, e, f, g, h, i, j Kojtych S., Batailly A. «OpenMCAD, an open blade generator: from Multiple-Circular-Arc profiles to Computer-Aided Design model» 2022. open source code
3. a, b Crouse et al. «A computer program for composing compressor blading from simulated circular-arc elements on conical surfaces » 1969. NASA-TN-D-5437. pdf
4. a, b Kojtych S. et al. «Methodology for the Redesign of Compressor Blades Undergoing Nonlinear Structural Interactions: Application to Blade-Tip/Casing Contacts » 2022. Journal of Engineering for Gas Turbines and Power, Vol. 145, No. 5. pdf
  • public/modeles/rotor_14/accueil.txt
  • Dernière modification : 2024/08/05 15:55
  • de rafaelbarraud