Rotor 12
About
Rotor 12 is part of a research program to study the effects of blade row solidity on efficiency and stall margin of an axial-flow compressor rotor. It is one of a series of rotors designed to further study the effects of solidity : rotor 8 with a tip solidity of 1.5, rotor 12 with a tip solidity of 1.7 and rotor 14 with a tip solidity of 1.3. Tip solidity are being changed by varying the number of blades while maintaining the same velocity diagrams and flow path. These stages were designed such that the tip solidity of both the rotor and stator blades are the same.
- Original technical report [1]:
@TechReport{reid1972design, author = {Reid, L. and Moore, R. D.}, date = {1972}, institution = {NASA Lewis Research Center Cleveland, OH, United States}, title = {Performance of a single-stage transonic compressor with a blade-tip solidity of 1.7}, number = {NASA-TM X-2658}, url = {https://ntrs.nasa.gov/citations/19730006256}, } - Picture :
Useful documents
- downloadable models (Git project)
- NASA technical report (.pdf)
- geometrical parameters file (.csv), usable as input of OpenMCAD[2] to generate reference blade models.
Reference blade
The reference blade is defined with multiple-circular arc profiles[3] given in the original NASA report[1]. Corresponding models are computed with the open-source code OpenMCAD[2]
Geometry
The geometry of rotor 12 is described in the original NASA report by the following tables. The length are in centimeters and the angles in degrees.
Aerodynamic design
| unit | value | |
|---|---|---|
| pressure ratio | [-] | 1.75 |
| mass flow | [kg/s] | 29.5 |
| tip speed | [m/s] | 423 |
| tip solidity | [-] | 1.7 |
| aspect ratio | [-] | 2.4 |
| number of blades | [-] | 56 |
| nominal rotation speed $\omega_n$ | [rad/s] | 1686 |
Material properties
The material of rotor 12 is not defined in the original NASA report. A 200-grade maraging steel is considered:
| unit | value | |
|---|---|---|
| alloy | [-] | 18-Ni-200-maraging |
| Young's modulus | [GPa] | 180 |
| density | [kg/m3] | 8000 |
| Poisson's ratio | [-] | 0.3 |
| yield stress | [GPa] | 1.38 |
CAD model
The CAD model is computed with the open source code OpenMCAD[2].
Natural frequencies
First three natural frequencies (with clamped root) for the mesh computed with OpenMCAD[2]:
| Mode | Type | Natural angular frequency (rad/sec) | Natural frequency (Hz) |
|---|---|---|---|
| 1 | 1B | 1655.46 | 263.48 |
| 2 | 2B | 5955.84 | 947.90 |
| 3 | 1T | 8466.78 | 1347.53 |
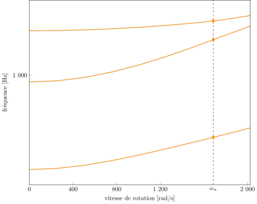
Campbell diagram
Evolution of the natural frequencies of the first 3 vibration modes, as a function of rotation speed, for the mesh computed with OpenMCAD[2]:
Initial blade
The initial blade is defined with in-house LAVA parameters[4] computed from the reference blade CAD model. The initial blade is usually used as starting point for an optimization process. Its geometry is similar to the one of the reference blade.
Natural frequencies
First three natural frequencies (with clamped root)
- from the whole mesh:
| Mode | Type | Natural angular frequency (rad/sec) | Natural frequency (Hz) |
|---|---|---|---|
| 1 | 1B | 1654.05 | 263.25 |
| 2 | 2B | 5951.13 | 947.15 |
| 3 | 1T | 8470.80 | 1348.17 |
- from the reduced order model:
| Mode | Type | Natural angular frequency (rad/sec) | Natural frequency (Hz) |
|---|---|---|---|
| 1 | 1B | 1654.12 | 263.261 |
| 2 | 2B | 5953.62 | 947.55 |
| 3 | 1T | 8473.76 | 1348.64 |
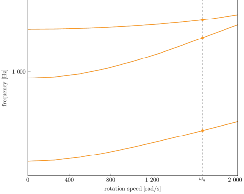
Campbell diagram
Comparison of the evolution of the natural frequencies of the first 3 vibration modes, as a function of rotation speed for the initial and the reference blade:
initial blade (orange), reference blade (gray)
À propos
Le rotor 12 fait partie d'un programme de recherche visant à étudier les effets de la solidité des rangées d'aubes sur l'efficacité et la marge de décrochage d'un rotor de compresseur à flux axial. Il fait partie d'une série de rotors conçus pour étudier plus profondément les effets de la solidité : le rotor 8 avec une solidité en tête de 1.5, le rotor 12 avec une solidité en tête de 1.7 et le rotor 14 avec une solidité en tête de 1.3. La solidité est modifiée en faisant varier le nombre d'aubes tout en conservant les mêmes triangles de vitesse et le même trajet d'écoulement. Ces étages ont été conçus de manière à ce que la solidité en tête du rotor et du stator soit la même.
- Rapport technique original [1]:
@TechReport{reid1972design, author = {Reid, L. and Moore, R. D.}, date = {1972}, institution = {NASA Lewis Research Center Cleveland, OH, United States}, title = {Performance of a single-stage transonic compressor with a blade-tip solidity of 1.7}, number = {NASA-TM X-2658}, url = {https://ntrs.nasa.gov/citations/19730006256}, } - Photographie :
Documents utiles
- modèles téléchargeables (lien vers projet Git)
- rapport technique original de la NASA (.pdf)
- fichier de paramètres géométriques (.csv), utilisable en entrée de OpenMCAD[2] pour générer l'aube de référence
Aube de référence
L'aube de référence est définie par des profils de type arcs circulaires multiples[3], donnés dans le rapport technique original de la NASA[1]. Les modèles associés sont obtenus avec le code en libre accès OpenMCAD[2].
Géométrie
La géométrie du rotor 12 est décrite dans le rapport d'origine de la NASA par les tableaux suivants. Les grandeurs sont en centimètres et en degrés.
Caractéristiques aérodynamiques
| unités | valeurs | |
|---|---|---|
| taux de compression | [-] | 1,75 |
| débit massique | [kg/s] | 29,5 |
| vitesse en tête | [m/s] | 423 |
| solidité en tête | [-] | 1,7 |
| allongement | [-] | 2,4 |
| nombre d'aubes | [-] | 56 |
| vitesse de rotation nominale $\omega_n$ | [rad/s] | 1686 |
Propriétés matériau
Le matériau original du rotor 12 n'est pas défini dans le rapport de la NASA. Un acier maraging de grade 200 est considéré:
| unité | valeurs | |
|---|---|---|
| alliage | [-] | 18-Ni-200-maraging |
| module d'Young | [GPa] | 180 |
| masse volumique | [kg/m3] | 8000 |
| coefficient de Poisson | [-] | 0,3 |
| limite élastique | [GPa] | 1,38 |
Modèle CAO
Le modèle CAO est obtenu avec OpenMCAD[2].
Fréquences propres
Fréquences des trois premiers modes (noeuds du pied d'aube encastrés) pour le maillage obtenu avec OpenMCAD[2] :
| Mode | Type | Pulsation propre (rad/sec) | Fréquence propre (Hz) |
|---|---|---|---|
| 1 | 1F | 1655,46 | 263,48 |
| 2 | 2F | 5955,84 | 947,90 |
| 3 | 1T | 8466,78 | 1347,53 |
Diagramme de Campbell
Évolution des fréquences propres des 3 premiers modes, en fonction de la vitesse de rotation, pour le maillage obtenu avec OpenMCAD[2]:
Aube initiale
L'aube initiale est définie par des paramètres spécifiques au LAVA[4] obtenus à partir du modèle CAO de l'aube de référence. L'aube initiale est classiquement utilisée comme point de départ dans le cadre de procédures d'optimisation; sa géométrie est similaire à celle de l'aube de référence.
Fréquences propres
Fréquences des trois premiers modes (noeuds du pied d'aube encastrés),
- pour le maillage complet :
| Mode | Type | Pulsation propre (rad/sec) | Fréquence propre (Hz) |
|---|---|---|---|
| 1 | 1F | 1654,05 | 263,25 |
| 2 | 2F | 5951,13 | 947,15 |
| 3 | 1T | 8470,80 | 1348,17 |
- pour le modèle réduit :
| Mode | Type | Pulsation propre (rad/sec) | Fréquence propre (Hz) |
|---|---|---|---|
| 1 | 1F | 1654,12 | 263,26 |
| 2 | 2F | 5953,62 | 947,55 |
| 3 | 1T | 8473,76 | 1348,64 |
Diagramme de Campbell
Comparaison de l'évolution des fréquences propres des 3 premiers modes, en fonction de la vitesse de rotation, pour l'aube initiale et de référence:
aube initiale (orange), aube de référence (grise)



