Rotor 3
About
Rotor 3 is part of a research program to study study the effects of blade solidity on efficiency and stall margin of an axial-flow compressor rotor. It is one of a series of rotors designed with varying blade solidity achieved by changing the blade chord length : rotor 3 with a tip solidity of 1.3, rotor 4 with a tip solidity of 1.1 and rotor 5 with a tip solidity of 1.5.
Results show that the pressure ratio, temperature ratio and efficiency of this rotor are higher than design predicted values because of the actual losses being generally lower than those assumed in the design.
- Original NASA technical report [1]:
@TechReport{hager1972performance, author = {Hager, Roy D and Janetzke, David C and Reid, Lonnie}, date = {1972}, institution = {NASA Lewis Research Center Cleveland, OH, United States}, title = {Performance of a 1380-foot-per-second-tip-speed axial-flow compressor rotor with a blade tip solidity of 1.3}, number = {NASA-TM X-2448}, url = {https://ntrs.nasa.gov/citations/19720012341}, } - Pictures :
Fig1. https://ntrs.nasa.gov/citations/19720012341 p.66
Fig2. https://ntrs.nasa.gov/citations/19720012341 p.67
Useful documents
- downloadable models (Git project)
- NASA technical report (.pdf)
- geometrical parameters file (.csv), usable as input of OpenMCAD[2] to generate reference blade models.
Reference blade
The reference blade is defined with multiple-circular arc profiles[3] given in the original NASA report[4]. Corresponding models are computed with the open-source code OpenMCAD[2].
Geometry
The geometry of rotor 3 is described in the original NASA report by the following table. The lenghts are in inches and the angles in degrees.
Aerodynamic design
| unit | value | |
|---|---|---|
| pressure ratio | [-] | 1.801 |
| mass flow | [kg/s] | 29 |
| tip speed | [m/s] | 420.6 |
| tip solidity | [-] | 1.3 |
| aspect ratio | [-] | 2.53 |
| nominal rotation speed $\omega_n$ | [rad/s] | 1675.52 |
Material properties
Rotor 3 is made of a 200-grade maraging steel, but the exact material properties are not provided in the NASA report. The following properties are considered :
| unit | value | |
|---|---|---|
| alloy | [-] | 18-Ni-200-maraging |
| Young's modulus | [GPa] | 180 |
| density | [kg/m3] | 8000 |
| Poisson's ratio | [-] | 0.3 |
| yield stress | [GPa] | 1.38 |
CAD model
The CAD model is computed with the open source code OpenMCAD[2].
Natural frequencies
First three natural frequencies (with clamped root) for the mesh computed with OpenMCAD[2]:
| Mode | Type | Natural angular frequency (rad/sec) | Natural frequency (Hz) |
|---|---|---|---|
| 1 | 1B | 1722.54 | 274.15 |
| 2 | 2B | 6548.96 | 1042.30 |
| 3 | 1T | 8224.31 | 1308.94 |
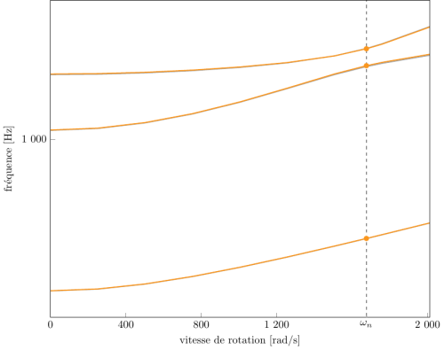
Campbell diagram
Evolution of the natural frequencies of the first 3 vibration modes, as a function of rotation speed, for the mesh computed with OpenMCAD[2]:
Initial blade
The initial blade is defined with in-house LAVA parameters[5] computed from the reference blade CAD model. The initial blade is usually used as starting point for an optimization process. Its geometry is similar to the one of the reference blade.
Natural frequencies
First three natural frequencies (with clamped root)
- from the whole mesh:
| Mode | Type | Natural angular frequency (rad/sec) | Natural frequency (Hz) |
|---|---|---|---|
| 1 | 1B | 1728.06 | 275.029 |
| 2 | 2B | 6559.27 | 1043.94 |
| 3 | 1T | 8243.04 | 1311.92 |
- from the reduced order model:
| Mode | Type | Natural angular frequency (rad/sec) | Natural frequency (Hz) |
|---|---|---|---|
| 1 | 1B | 1728.11 | 275.04 |
| 2 | 2B | 6561.34 | 1044.27 |
| 3 | 1T | 8245.30 | 1312.28 |
Comparison of the evolution of the natural frequencies of the first 3 vibration modes, as a function of rotation speed for the initial and the reference blade:
initial blade (orange), reference blade (gray)
À propos
Le rotor 3 fait partie d'un programme de recherche pour étudier les effets de la solidité des pales sur le rendement et la marge de décrochage d'un compresseur à flux axial. Il fait partie d'une série de rotors conçus avec une solidité d'aube variable obtenue en modifiant la longueur de la corde de l'aube : le rotor 3 possède une solidité en tête de 1.3, le rotor 4 possède une solidité en tête de 1.1 et le rotor 5 possède une solidité en tête de 1.5.
Les résultats montrent que le taux de compression, le ratio de température et le rendement du rotor 3 sont plus élevés que ceux prévus lors de la conception car les pertes effectives sont inférieures à celles estimées lors de la conception.
- Rapport technique original [1]:
@TechReport{hager1972performance, author = {Hager, Roy D and Janetzke, David C and Reid, Lonnie}, year = {1972}, institution = {NASA Lewis Research Center Cleveland, OH, United States}, title = {Performance of a 1380-foot-per-second-tip-speed axial-flow compressor rotor with a blade tip solidity of 1.3}, number = {NASA-TM X-2448}, url = {https://ntrs.nasa.gov/citations/19720012341}, } - Photographies :
Fig1. https://ntrs.nasa.gov/citations/19720012341 p.66
Fig2. https://ntrs.nasa.gov/citations/19720012341 p.67
Documents utiles
- modèles téléchargeables (lien vers projet Git)
- rapport technique original de la NASA (.pdf)
- fichier de paramètres géométriques (.csv), utilisable en entrée de OpenMCAD[2] pour générer l'aube de référence
Aube de référence
L'aube de référence est définie par des profils de type arcs circulaires multiples[3], donnés dans le rapport technique original de la NASA[4]. Les modèles associés sont obtenus avec le code en libre accès OpenMCAD[2].
Géométrie
La géométrie du rotor 3 est décrite dans le rapport d'origine de la NASA par les tableaux suivants. Les grandeurs sont en pouces et en degrés.
Caractéristiques aérodynamiques
| unités | valeurs | |
|---|---|---|
| taux de compression | [-] | 1.801 |
| débit massique | [kg/s] | 29 |
| vitesse en tête | [m/s] | 420.6 |
| solidité en tête | [-] | 1.3 |
| allongement | [-] | 2.53 |
| vitesse de rotation nominale $\omega_n$ | [rad/s] | 1675.52 |
Propriétés matériau
Le matériau du rotor 3 est un alliage à base de nickel : un acier maraging de grade 200, mais ses caractéristiques ne sont pas fournies. Les propriétés considérées sont :
| unité | valeurs | |
|---|---|---|
| alliage | [-] | 18-Ni-200-maraging |
| module d'Young | [GPa] | 180 |
| masse volumique | [kg/m3] | 8000 |
| coefficient de Poisson | [-] | 0,3 |
| limite élastique | [GPa] | 1,38 |
Modèle CAO
Le modèle CAO est obtenu avec OpenMCAD[2].
Fréquences propres
Fréquences des trois premiers modes (noeuds du pied d'aube encastrés) pour le maillage obtenu avec OpenMCAD[2] :
| Mode | Type | Pulsation propre (rad/sec) | Fréquence propre (Hz) |
|---|---|---|---|
| 1 | 1F | 1722,54 | 274,15 |
| 2 | 2F | 6548,96 | 1042,30 |
| 3 | 1T | 8224,31 | 1308,94 |
Diagramme de Campbell
Évolution des fréquences propres des 3 premiers modes, en fonction de la vitesse de rotation, pour le maillage obtenu avec OpenMCAD[2]:
Aube initiale
L'aube initiale est définie par des paramètres spécifiques au LAVA[5] obtenus à partir du modèle CAO de l'aube de référence. L'aube initiale est classiquement utilisée comme point de départ dans le cadre de procédures d'optimisation; sa géométrie est similaire à celle de l'aube de référence.
Fréquences propres
Fréquences des trois premiers modes (noeuds du pied d'aube encastrés),
- pour le maillage complet :
| Mode | Type | Pulsation propre (rad/sec) | Fréquence propre (Hz) |
|---|---|---|---|
| 1 | 1F | 1728,06 | 275,04 |
| 2 | 2F | 6559,27 | 1043,94 |
| 3 | 1T | 8243,04 | 1311,92 |
- pour le modèle réduit :
| Mode | Type | Pulsation propre (rad/sec) | Fréquence propre (Hz) |
|---|---|---|---|
| 1 | 1F | 1728,11 | 275,03 |
| 2 | 2F | 6561,34 | 1044,27 |
| 3 | 1T | 8245,30 | 1312,28 |
</tabs>
Diagramme de Campbell
Comparaison de l'évolution des fréquences propres des 3 premiers modes, en fonction de la vitesse de rotation, pour l'aube initiale et de référence:
aube initiale (orange), aube de référence (grise)
- public/modeles/rotor_03/accueil.txt
- Dernière modification : 2024/08/05 15:43
- de rafaelbarraud





